بررسی مدل سخت شوندگی ایزوترپیک
- 1392/05/21
- دیدگاهها برای بررسی مدل سخت شوندگی ایزوترپیک بسته هستند
نظریه سخت شوندگی ایزوتروپیک ساده ترین و در عین حال پرکاربردترین نظریه کار سختی در فلزات محسوب می شود. بر طبق این نظریه شکل سطح تسلیم در طی تغییر فرم پلاستیک بدون تغییر باقی مانده در حالی که اندازه آن افزایش می یابد و مقدار این افزایش تنها به یک عامل بستگی دارد که با تغییر فرم پلاستیک کنترل می شود.
بررسی مدل سخت شوندگی ایزوترپیک
برای مشخص کردن پتانسیل پلاستیکی مواد پایدار و مواد کاملاً پلاستیکی فرضیه Drucker می تواند استفاده شود برای مشخص کردن پتانسیل پلاستیکی مواد پایدار و مواد کاملاً پلاستیکی که گاهی مواد پایدار خنثی نامیده می شوند. در نتیجه ی عمومی می توان از فرضیه یDrucker گرفت.
- سطح تسلیم محدب است.
- میزان کرنش پلاستیک برای سطح تسیلم متوسط است.
میزان کرنش پلاستیک عبارتست از

بنابراین:
Q=F (157)
این عبارت ها فقط برای مواد پایدار و پایدار خنثی بدون کویلا الاستو پلاستیک صادق است.
در حالت ایزوتروپیک ، مواد حامد نشاری، تابع تسلیم عبارتست از:

دومین و سومین ثابت های تانسور تنش پیچشی هستند(s )
فقط پارامترسختی a لوزم است تا سخت شوندگی ایزوتروپیک مشخص شود.
K هست یک تابع افزایش
منفرد
از a به وضوح ، تابع
به نظر باشد یک نوع Von mises برای آن می توان در نظر گرفت.

استحکام تسلیم شورش تک محوری است که با
افزایش می یابد.
معمولا دو مقدار سختی به عنوان
ا ستفاده می شود. یکی از آنها به صورت زیر است.

کرنش پلاستیک معادل یا موثر نامیده می شود اما نباید با
اشتباه شود.
معادله ی قبلی بیان می کند که میزان سختی (سخت شوندگی ) بستگی به کرنش پلاستیک موثر یا طول در در فضای کرنش پلاستیک دارد اما نه مرکزش
این قطب فرضیه ی کرنش سختی (سخت شوندگی ) است.
معادله ی روبرو برای تغیرات به شکل زیر است :

که با معادله ی 159 معادل است.
شرایط متوسط
می تواند استفاده می شود.
در قسمت های بعدی تعریف می شود.
تغییرات
با این معادله بدست می آید.
برای مشخص کردن تابع
، معادله ی 159. 5 به صورت زیر خلاصه می شود.

بنابراین
می تواند از سختی آزمون کشش تک محور بر حسب
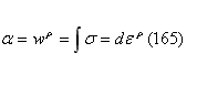
که در شکل نشان داده شده است به دست آورده شود.
با جایگزین
در معادله ی 165 به جای
در معادله ی 165 ، سطح تسلیم بعدی برای کرنش سختی ایزوتروپیک عبارتست از :

دومین عبارت برای
که به عنوان پارا در سخت شوندگی ایزوتروپیک استفاده می شود هست کار کل پلاستیک


بنابراین در معادله در 164 ، شرایط تسلیم به صورت زیر نوشته می شود.

که در واقع در اینجا ست که فرضیه ی کار سختی تعریف می شود که نشان می دهد میزان سختی فقط بستگی به مسیر بارگذاری دارد. تغییرات
را می توان با معادله ی زیر به دست آورد با توجه به معادله (165)

محاسبه می شوند و سطح تسلیم بعدی در تغییر سطح پلاستیکی می تواند به طور کامل مشخص شود.
می توان نشان داد که معیار تسلیم vonmises یا Prandtl-Renses استفاده می شود.
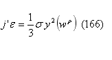
کارسختی و کرنش سختی معادله اند. بنابراین داریم :

بنابراین معادله 166 معادل است با :

شکل تابع
از آزمون کشش تک محور 9 نیز به دست می آید.
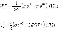
در حالت سختی خطی که در شکل زیر نشان داده شده است ( که
، نسبت سختی خطی و
تنش تسلیم اولیه است )
شکل

داریم :

جایگزین معادله ی 170 در معادله ی 166 سطح تسلیم بعدی برای مواد کار سختی خطی ایزوتروپیک را به است می دهد:

در مقایسه ی مدل کار سختی ، کرنش سختی راحت تر است در استفاده اما فرضیه ی کارسختی عمومی تر است.
نکته اینکه سخت شوندگی ایزوتروپیک نشان می دهد وجود وابستگی بین میزان تنش خاص (که تنش معادل نامیده می شود ) و تنش پلاستیک معادل
البته تنش کرنش معادل محور نیستند که
یا
یا
باشند.
تعریف آنها بستگی به معیار تسلیمی دارد که استفاده می شود.
این تابع یک تابع جهانی نامیده می شود چون هر حالت تنش ، کرنش و بارگذاری را نگه می دارد.

مدلهای سخت شوندگی در مواد الاستوپلاستیک
طی جریان های پلاستیک تحت بارگذاری چند محوری ، تنش می تواند در طول سطح تسلیم حرکت کند. اما خود سطح تسلیم بدون تغییر یابی می ماند. گرچه در حقیقت میکرو ساختار ماده با ادامه ی جریان های پلاستیکی تغییر می کند و نتیجه ی تغییرات خواص در مقیاس ماکروسکوپ قابل مشاهده است.
تحت بارگذاری محور ، تنش تسلیم ماده می تواند کاهش یا افزایش پیدا کند.
افزایش تنش تسلیم عبارتست از سخت شوندگی و کاهش تنش تسلیم عبارتست از نرم شدن خیلی از مواد سخت هستند و بعد نرم می شوند.
برای اثبات ما گاهی از واژه ی Mardening برای حالات یعنی تغییرات تنش تسلیم در دو حالت منفی ومثبت استفاده می کنیم که در واقع Megatiue liardio (سخت شوندگی منفی ) همان معادل نرم شدن Softing است.
طی سخت شوندگی در سطح خارجی ، ناحیه ی لاستیک دچار تغییرات خاص می شود.
ناحیه ی الاستیک آن تست از ماده که دچار تغییر نشده توسط سطح تسلیم اولیه محصور شده است.
به علت تغییرات در میکروسافت ماده ی تحریک شده با جریان پلاستیکی با اندازه یا موقعیت ناحیه الاستیک تغییر می کند.
این بانک لاستیک دریک حالت میانی سطح بار گذاری نامیده می شود.
بعضی مدلها مرتبط با Max ناحیه ی الاستیک ممکن کار می کنند که با یک سطح شکست محدوده نشده است. که در واقع بیشترین مقاومت ماده در مقابل تغییر شکل همین ناحیه را فراهم می کند.
سخت شوندگی ایزوتروپیک

به منظور توضیح تغییرات در سطح بارگذاری نیاز به یک یا چند پارامتر که روی سخت شوندگی تأثیر می گذارد داریم. ساده ترین آنها توسط Odqvist درسال 1933 ارائه شده است. که مرتبط با یک ی از پارامترهای بارگذاران است که این سطحی بسیار رسم شبیه هستند طبق شکل این پارامترهای مدل سخت شوندگی ایزوتروپیک است( در ایزوتروپیک سطوح بارگذاری خروج و مشابه هستند ). سطوح بارگذاری می توانند مقادیر مختلف تنش تسلیم به دست آورده شوند.
می دانیم معیار تسلیمی به شکل زیر ساده می شود:

دراین قسمت
یک تنش تسلیم ثابت است که می توان آن را به شکل زیر در آورد.

تنش تسلیم مثالش ماده است که مربوط به پارامتر وسط است.
سیر تکاملی تنش تسلیم از طی جریان های پلاستیکی باید توسط یک معادله ی دیگر بیان شود که با قانون سخت شوندگی مشهور است.
قانون سخت شوندگی تحت بارگذارین منفرد تک محوری می تواند به عنوان پاسخ تنش تسلیم تحت کرنش های پلاستیکی تعریف شوند. دراین صورت تنش تسلیم تابعی از کرنش پلاستیک است که سخت شوندگی کرنش نامیده می شود.

هر کرنش پلاستیکی نرمال در جهت تنش
است. تابع h به راحتی از منفی تنش کرنش استخراج می شود. مشتق آن عبارتست از :

که همان مدول پلاستیکی نامیده می شود.
در ساده ترین حالت ، تفلون سخت شوندگی به صورت خطی فرض می شود.
ونیز مدول پلاستیکی نیز ثابت است پس می گیریم :
مدول پلاستیکی مثبت را سخت شوندگی در حالت افزایش تنش تسلیم فرض می کنیم.
H=0 مربوط به حالت کاملا پلاستیکی است و H=0 ماده در معرض نرم شدن است مدول پلاستیکی منفی اغلب مدول نرم شدن نامیده می شود.
درحالت ضدمحوری کرنش پلاستیک
اولین تاسنسور مورد نیاز است و قانون سخت شوندگی عددی می تواند دراین مورد گسترش پیدا کند در صورتی که ما با یک اندازه اسکالر که معرف میزان تغییرات در میکروساختار ماده است معرفی کنیم.
ساده ترین انتخاب ممکن است تا سنسور کرنش پلاستیک متوسط باشد.

با این متغیر ممکن است در طی جریان پلاستیکی افزایش پیدا نکند.
ودلیل این امر این است که میزان کرنش پلاستیکی به طور عمومی می تواند درهر جهتی باشد که متوسط آن می تواند زمانی که جریان های پلاستیک ادامه می یابد کاهش یابد.
بنابراین کرنش سخت شوندگی با کرنش پلاستیک فشرده که در واقع کرنش پلاستیک موثر یا کرنش پلاستیک معادل نامیده می شود. پس فرض می شود 
داریم :

این اولین فرضیه ایی است که بدون عامل
توسط Odqrist ارائه شده قابل مقیاس بدین صورت انتخاب می شود ، تحت بارگذاری منفرد تک محوری
می تواند منطق شود و با جزء
در
که در واقع جریان های پلاستیکی هم ارز فراهم کند. یعنی هیچ گونه تغییر پلاستیکی جمعی اتفاق نمی افتد. معادله قبلی به تسلیم بدین شکل ربط داده شود.

دراینجا t (متغیر زمان ) می تواند هر پارامتر در حال افزایشی که فرآیند بارگذاری را کنترل می کند باشد.
تغییرات متناوب در کرنش سختی این که تنش تسلیم به کرنش پلاستیک معادل پاسخ می دهد همان کارسختی معنی می شود. (فرضیه Quinney , Taylor درسال 1931) با فرض اینکه تنش تسلیم به کار پلاستیکی پاسخ دهد داریم :

انتخاب کرنش سختی یا کارسختی بستگی به آزمایشات ضد محوری یا تک محوری دارد. اگر فقط نتایج آزمایش تک محوره موجود باشد. نمی توان تصمیم گرفت کدام بهتر است.
هردو به طور گسترده ای استفاده می شود و نیز درخیلی از موقعیت های تنش ضد سوژه یک نتیجه از موارد به دست می آید.
دو رابطه ی j2 این دو کاملا معادل هستند. (در رابطه با تابع h سختی ).
برای تبدیل این دو مورد به یک مورد ، با یک متغیر سخت شوندگی به نام K می توانیم هر دو کرنش سختی و کار پلاستیکی (کارسختی ) جمع آوریم.
این کار راحت است البته لازم نیست. برای کاهش میزان کار پلاستیکی در چنین مواردی. یک میزان کرنش وجود دارد و تحت کشش تک محوره این کرنش همان
است.
این فرضیه می تواند با تعریف متغیر کاری به دست آورده شود :

بنابراین معادله 3 به این صورت نوشته می شود : 

نکته این که در طی جریانهای پلاستیک تحت کشش تک محور
بنابراین معادله ی (8) با ترکیب (9) می دهد : 
درنتیجه ، متغیر کرنش سختی و متغیر کار سختی شناسایی می شوند تحت شرایط تنش تک شد. و هم چنین تابع سخت شوندگی h می تواند برای هر دو نوع سخت شوندگی استفاده شود.
اجازه دهید تأثیر سخت شوندگی (سختی ) بر تا سنسو الاستوپلاستیک نرم بررسی کنیم. در مقایسه با مدل پلاستیک کامل ما اکنون دو متغیر اضافی داریم یکی تنش تسلیم سیلان
درگیری متغییر سختی k. معادله ی اضافی شامل دو جزء قانون سخت شوندگی (سختی ) یعنی بستگی تنش تسلیم شارش روی متغیر سختی و تعریف متغیر سختی است.
معادله ی (9) وضوح وابستگی تنش تسلیم شارش به متغیر سخت شوندگی یا سختی را نشان می دهد. تابع تسلیم به این صورت بازسازی می شود :

که مشتق آن نسبت به زمان عبارتست از :

شیب F , f نسبت به
بدین صورت است
هم چنین می توان برای
نماد
را استفاده کرد وبرای.
البته
بستگی به مقدار
بستگی به k ( اگر قانون سخت شوندگی غیر خطی باشد) دارد. اما برای ساده سازی ، با این وابستگی ها را در نظر نمی گیریم.
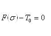
بعضی معیارهای مهم مثال non mises یا Pxcayer & Drueker نوشته شده اند به صورت شکل طبیعی میزان تنش تسلیم مثل تنش تسلیم برش.
برای مواد سخت این معیار می تواند به فرم کلی زیر نوشته شود.

دراینجا
همان تابع سختی است که با میزان کاراکتر تنش تسلیم
بازسازی شده است و
تنش تسلیم دو کشش تک محور
است.
به عنوان مثال ، معیاری عمومی با این فرض به شکل زیر می توان نوشت :

که بدین صورت بازسازی می شود
دراینجا 
مشتق نسبت به زمان تابع تسلیم هست :

دراینجا:

هست مدول پلاستیک بازسازی شده برای کرنش سختی به خوبی برای کارسختی (میزان متغیر سختی K0) هست ، رابطه با نسبت میزان کولاپلاستیکی
به یک عامل نسبتی که به جریان تنش بستگی دارد.
داریم برای کرنش سختی 
وبرای کارسختی 
هردو توسط معادله ی زیر به هم ربط داده می شوند:
که عامل k هست : 
در ادامه نمودارهای مدل سخت شوندگی ایزوتروپیک آمده است.






مطالب مرتبط
برچسب ها : isotropic, ایزو ترپیک, ایزوترپیک, بررسی مدل سخت شوندگی ایزو ترپیک, خواس ماده, خواص مواد, سخت شوندگی, مدل سخت شوندگی, مکانیک
دیدگاهتان را بنویسید
نشانی ایمیل منتشر نخواهد شد

مطالب جدید
- PEL Suite 25 تحلیل مهندسی فرآیند و ایمنی صنعتی
- FlexSim Enterprise 2026 مدیریت سناریوهای پیچیده
- GE Operations Hub 2025 پلتفرم یکپارچه IoT صنعتی
- Ansys Rocky 2026 تحلیل رفتار ذرات در صنعت
- Midas NFX 2026 R1 شبیه سازی چندفیزیکی پیشرفته
- Autodesk Vehicle Tracking 2027 طراحی شهری و برنامه ریزی ترافیک
- MUDPRO 4.7.14 بهینه سازی عملیات حفاری نفت و گاز
- ANSYS SimAI Pro 2026 R1 شبیه سازی با هوش مصنوعی
- Enterprise Dynamics 10.6.1 شبیه سازی سیستم های صنعتی
- AVEVA System Monitor 2026 نظارت بلادرنگ اتوماسیون صنعتی

مطالب پربازدید
- دانلود کتاب هیدرولیک و پنوماتیک فستو Festo فارسی
- دانلود استاندارد
- دانلود نرم افزار کلید فولاد (Key to Steel) پرتابل
- دانلود فول استاندارد ASTM بصورت رایگان
- آموزش میکروکنترلر AVR
- دانلود آنتی ویروس شورتکات (Back 2 Normal)
- دانلود جدول استاندارد DIN
- دانلود کتاب آموزش Abaqus (فارسی)
- فول استاندارد ASME (بروز)
- دانلود نرم افزار MATLAB برای آندروید(MATLAB Android)

مطالب تصادفی
- دیتابیس جامع مواد اپتیکی
- Intergraph Smart 3D 2025 طراحی و مدلسازی سهبعدی صنعتی
- نرم افزار GeoHECHMS 2024 مدلسازی هیدرولوژیکی و هیدرولیکی
- مجموعه ای ناب از کتابهای اجزا محدود (FEM)
- مجموعه نرم افزارهای مهندسی شماره شش
- MSC ODYSSEE 2025.1 شبیهسازی و تحلیل مهندسی
- نرم افزار AASHTOWare Bridge Design 6.6 طراحی و تحلیل پل
- شبیه سازی عملیات ماشینکاری سرعت بالا با استفاده از نرم افزار اباکوس
- Polysun 2024.8 تحلیل و بهینه سازی سیستمهای انرژی
- نرم افزار AVEVA Plant SCADA 2023 کنترل اتوماسیون صنعتی








